- Предыдущее
- Следующее 54 страница
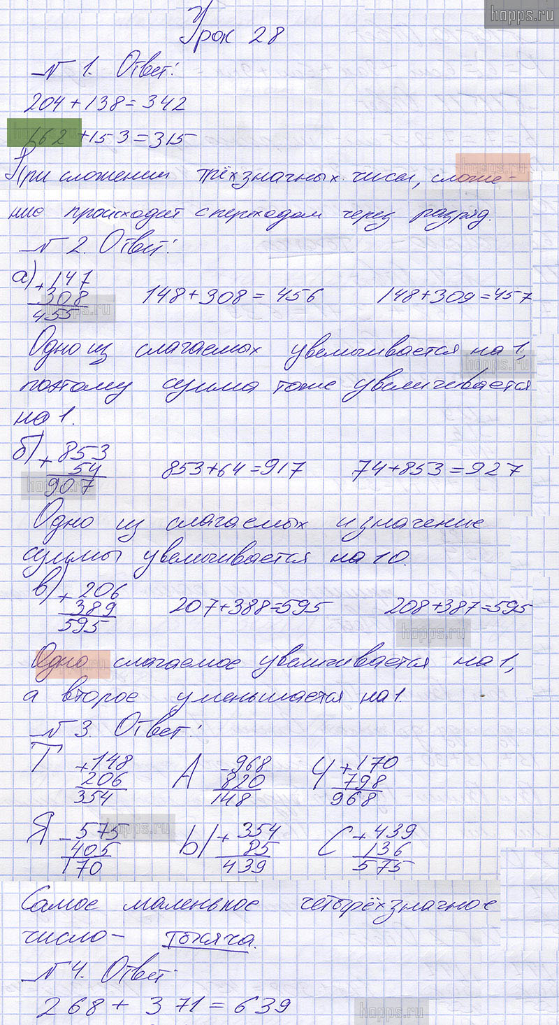
Подробные ответы к заданиям, расположенным на 54 странице 1 части учебника по математике автора Петерсон Л.Г. для учащихся 2 класса. Урок 28. Сложение трёхзначных чисел: 204+138, 162+153.
-
54 страница
- Предыдущее
- Следующее

